Rangkaian VU meter 10 Led marommuhammad 4:09 PM 0 comments The LED VU meter is simpler and smaller than it's analogue counterpart, and is very common in audio equipment. This version is based on ...
Audio Limiter Sederhana Untuk Power Amplifir marommuhammad 2:54 PM 0 comments Rangkaian Audio Limiter Sederhana Untuk Power Amplifir This is a simple peak limiter - performance is quite respectable, and it can be use...
UM3561 IC Sound Effect Generator marommuhammad 2:42 PM 0 comments This circuit uses a UM3561 IC to produce four different sound effects.UM3561 IC Sound Effect Generator Circuit Notes Nothing too complicated...
Current Limiting Power Supply Diagram marommuhammad 2:39 PM 0 comments Description This is a 1-amp variable-voltage PSU. It adjusts from about 3v to 24v: and has the added feature that you can limit the maximum ...
Current Limiter Regulated Power Supply marommuhammad 2:36 PM 0 comments Current Limiter Regulated Power Supply CircuitThe Current Limiter Regulated Power Supply has been especially designed for current-hungry ham...
I'm still alive marommuhammad 7:56 AM 0 comments Just to let you know that I'm still alive. I'm just too busy (with my child and paid works). However, I have done some microcontroll...
Mengukur Kerusakan Fet Dengan Multimeter marommuhammad 10:50 PM 0 comments Mengukur Kerusakan Fet Dengan Multimeter FET is divided into two families: Junction FET (JFET) and Insulated Gate FET (IGFET) or also know...
LED Indicator Daya Audio Amplifier marommuhammad 9:53 PM 0 comments LED Indicator Daya Audio Amplifier This circuit, connected to the loudspeaker output of an audio amplifier, will indicate the instantaneou...
Mengukur Kapasitor Menggunakan Multimeter (AVO Meter) marommuhammad 9:46 PM 0 comments Mengukur Kapasitor Menggunakan Multimeter (AVO Meter) Capacitor is a component that can store electrical energy in units of Farad. Discover...
Self-assembling Robot marommuhammad 4:37 PM 0 comments A Self-assembling Lattice Reconfiguration Robot Telecube modules are cube shaped modules with faces that can extend out doubling the length ...
LT1300 Solar Powered Power Supply marommuhammad 9:12 AM 0 comments LT1300 Solar Powered Power Supply This architecture was generated as allotment of a alien acclimate base project. One of the requirements of...
Rangkaian Subwoofer 22watts Menggunakan TDA1516 marommuhammad 8:51 AM 0 comments 22 Watts Mini Subwoofer Circuit TDA1516 with Adjustable FrequencyThe subwoofer is a subwoofer or a apostle to carbon low frequencies, addict...
TLC271 Simple Solar Panel Circuit marommuhammad 8:17 AM 0 comments simple solar panel shunt regulator by TLC271Solar console regulators appear in abounding flavors. The plainest acidity is the simple on-off ...
Lampu LED Disko Mengikuti Musik marommuhammad 12:14 PM 0 comments This series consists of 10 led a mounted sequential, Supply 9V IC1A needed to strengthen to 100 times and move the audio signal IC1B. Sensit...
Rangkaian Detektor Signal AF/RF marommuhammad 11:43 AM 0 comments The following circuit of special functions to detect the presence or absence of signal AF / RF. This circuit is very simple so as to make it...
Rangkaian Pengusir Tikus Elektonik marommuhammad 10:54 AM 0 comments Mice are wild animals and very annoying. "Action bawdy" it could be all kinds ranging from pooping everywhere, rummaging through c...
Modular Robot Project marommuhammad 4:47 PM 0 comments MTRAN modular robots have been intensively investigated mainly by universities and research institutes in Japan and USA since around 1990 as...
3 led Level Audio amplifier Indicator marommuhammad 9:27 AM 0 comments This circuit ican be used to show the power output level of any audio amplifier. The circuit is very simple and displays three power levels ...
Pengukur Suara Speaker marommuhammad 8:25 AM 0 comments Rangkaian Pengukur Suara Speaker This circuit can be used to setup their home-cinema set adjusting all the loudspeaker outputs to the same ...
Rangkaian Loudness Aktif marommuhammad 12:49 PM 0 comments To get good audio reproduction at different listening levels, a different tone-setting controls should be necessary to suit the well known b...
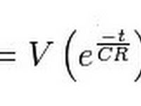
Rangkaian Diferensiator Op-Amp marommuhammad 10:55 AM 0 comments Diferensiator circuit functions to produce a voltage which is a function of the time differential input voltage. Diferensiator circuit is ba...
Rangkaian Integrator Op-Amp 741 marommuhammad 8:16 AM 0 comments Op-amp is versatile electronic circuits are designed and specially packaged, so that by adding external components at all, can already be us...
Rangkaian Relay Penunda Speaker marommuhammad 11:39 AM 0 comments The following is a series of speakers delay relay useful as a delaying the speakers. The purpose of this delay circuit is as a deterrent to ...
Rangkaian Pengusir Serangga marommuhammad 10:54 AM 0 comments In this section of talk about a type of insect repellent, insect repellant is a circuit that will repel insects from your home or yard with ...
Menguji Dioda Menggunakan Multi Meter marommuhammad 11:54 AM 0 comments Menguji Dioda Menggunakan Multi Meter In the diode consists of cathode and anode, and this is given one mark. Then the steps using a multim...
Antena Pemancar Radio FM marommuhammad 7:50 AM 0 comments The antenna serves to radiate signals and radio wave radiation. Antenna generally divided into two by the beam, ie Omnidirectional (all dire...
Rangkaian Penala Antena marommuhammad 11:35 AM 0 comments This is a series of antenna-tuning circuit or circuits for transmitting antenna placement SW 3-30 MHz wave / short wave 3-30 Mhz. If the pl...